概述
麦芽糖(maltose)是两个葡萄糖分子以α-1,4糖苷键连接构成的二糖[参考资料] 中华人民共和国国家卫生和计划生育委员会.WS/T 476—2015 营养名词术语[Z].2015-12-29.。是淀粉和糖原的结构成分[参考资料] 中华人民共和国国家卫生和计划生育委员会.WS/T 476—2015 营养名词术语[Z].2015-12-29.。
麦芽糖(Malt sugar)是禾本科植物米、大麦(Hordeum vulgare L.)、粟或玉蜀黍等粮食萌发时,淀粉酶将贮藏的淀粉分解所得的双糖。麦芽糖甜味不大,能增加菜肴品种的色泽和香味,全国各地均产。有软硬两种,软者为黄褐色浓稠液体,粘性很大,称胶饴;硬者系软糖经搅拌,混入空气后凝固而成,为多孔之黄白色糖饼,称白饴糖。药用以胶饴为佳。麦芽糖属双糖类,白色针状结晶,易溶于水。味甜但不及蔗糖,有健脾胃、润肺止咳的功效,是老少皆宜的食品。
麦芽糖的别名
饴糖、糖稀
麦芽糖的营养价值
麦芽糖润肺,生津,去燥;可用于治疗气虚倦怠、虚寒腹痛、肺虚、久咳久喘等症。
麦芽糖的选购
市场上出售的商品麦芽糖,别名“饴糖”。非单纯的麦芽糖,是一种混合物,包括麦芽糖、葡萄糖和糊精(Dextrin)。
麦芽糖适合的人群
一般人群均可食用,糖尿病患者忌食。
麦芽糖的食疗功效
麦芽糖味甘,性微温;
有健脾胃、润肺止咳之功效;
可用于治疗气虚倦怠、虚寒腹痛、肺虚、久咳久喘等症。
麦芽糖的食用建议
麦芽糖的制法:
1. 将淀粉与水共热成糊,冷至60度;
2. 加麦芽(内含糖化醇素),保持此温度约1小时;
3. 再热沸即成。
麦芽糖药典标准
品名
中文名
麦芽糖
汉语拼音
Maiyatang
英文名
Maltose
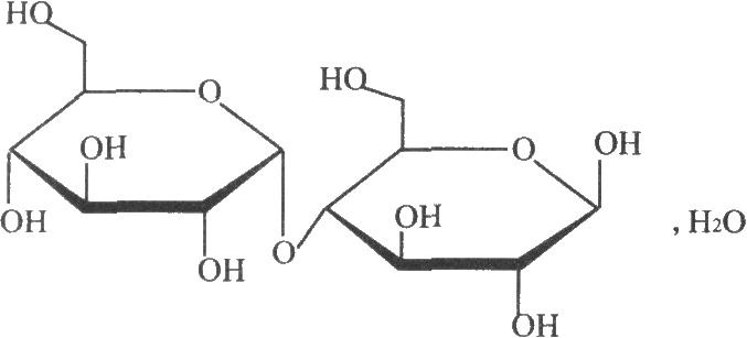
结构式

分子式与分子量
C12H22O11·H2O 360.31
CAS号
[69-79-4]
来源及含量
本品为4-O-α-D-吡喃葡萄糖基-β-吡喃葡萄糖-水合物。按无水物计算,含C12H22O11不得少于98.0%。
性状
本品为白色晶体或结晶性粉末;味甜。
本品在水中易溶,在乙醇中极微溶,在乙醚中几乎不溶。
比旋度
取本品置80℃干燥4小时,取约10g,精密称定,置100ml量瓶中,加氨试液0.2ml,再加水稀释至刻度,摇匀,依法测定(2010年版药典二部附录Ⅵ E),比旋度为+126°至+131°。
鉴别
(1)取本品0.5g,加水5ml溶解后,加氨试液5ml,在水浴中加热5分钟,溶液即显橙色。
(2)取本品0.1g,加水5ml溶解,取2~3滴,加到煮沸的碱性硫酸铜试液(取10%氢氧化钠溶液2ml,加入5%硫酸铜溶液4~5滴,混匀,临用新制)中,即生成红色沉淀。
(3)在含量测定项下记录的色谱图中,供试品溶液主峰的保留时间应与对照品溶液主峰的保留时间一致。
检查
酸度
取本品1.0g,加水10ml使溶解,依法测定(2010年版药典二部附录Ⅵ H),pH值应为4.5~6.5。
氯化物
取本品0.4g,依法检查(2010年版药典二部附录Ⅷ A),与标准氯化钠溶液7.2ml制成的对照液比较,不得更浓(0.018%)。
硫酸盐
取本品1.0g,依法检查(2010年版药典二部附录Ⅷ B),与标准硫酸钾溶液2.4ml制成的对照液比较,不得更浓(0.024%)。
糊精、可溶性淀粉与亚硫酸盐
取本品1.0g,加水10ml溶解后,加碘试液1滴,溶液应显黄色,再加淀粉指示剂1滴,溶液应显蓝色。
有关物质
取本品适量,加水溶解并稀释制成每1ml中含50mg的溶液,作为供试品溶液;精密量取1ml,置100ml量瓶中,加水稀释至刻度,摇匀,作为对照溶液。照含量测定项下的色谱条件,取对照溶液20μl注入液相色谱仪,调节检测灵敏度,使主成分色谱峰的峰高为满量程的15%~25%。精密量取供试品溶液与对照溶液各20μl,分别注入液相色谱仪,记录色谱图至主成分峰保留时间的2.5倍。供试品溶液色谱图中,除溶剂峰外,主成分峰之前的杂质峰面积之和不得大于对照溶液主峰面积的1.5倍(1.5%),主成分峰之后的杂质峰面积之和不得大于对照溶液主峰面积的0.5倍(0.5%)。
含氮量
取本品约2.0g,精密称定,照氮测定法(2010年版药典二部附录Ⅶ D第二法)测定,含氮量不得过0.01%。
水分
取本品,照水分测定法(2010年版药典二部附录Ⅷ M第一法 A)测定,含水分应为4.5%~6.5%;如为无水物,含水分应不得过1.5%。
干燥失重
取本品,在80℃干燥至恒重,减失重量不得过0.5%。
炽灼残渣
不得过0.1%(2010年版药典二部附录Ⅷ N)。
重金属
取本品5.0g,加水23ml溶解后,加醋酸盐缓冲液(pH 3.5)2ml,依法检查(2010年版药典二部附录Ⅷ H第一法),含重金属不得过百万分之四。
砷盐
取本品1.5g,加水5ml,加稀硫酸5ml与溴试液1ml,置水浴上加热5分钟,再加热浓缩至5ml,放冷,加盐酸5ml与水23ml使溶解,依法检查(2010年版药典二部附录Ⅷ J第一法),应符合规定(0.00013%)。
微生物限度
取本品,依法检查(2010年版药典二部附录Ⅺ J),每1g供试品中除细菌数不得过1000个、霉菌及酵母菌数不得过100个外,还不得检出大肠埃希菌。
含量测定
照高效液相色谱法(2010年版药典二部附录Ⅴ D)测定。
色谱条件与系统适用性试验
用氨基键合硅胶为填充剂;以乙腈-水(75:25)为流动相;柱温为35℃;示差折光检测器,检测器温度为30℃;取麦芽糖、葡萄糖与麦芽三糖对照品各适量,加水溶解并稀释制成每1ml各含10mg的溶液,量取20μl,注入液相色谱仪,记录色谱图,麦芽糖峰、葡萄糖峰与麦芽三糖峰之间的分离度均应符合要求。
测定法
取本品适量,精密称定,加水溶解并定量稀释制成每1ml约含麦芽糖10mg的溶液,精密量取20μl,注入液相色谱仪,记录色谱图;另取麦芽糖对照品适量,同法测定,按外标法以峰面积计算,即得。
类别
药用辅料,填充剂和矫味剂等。
贮藏
密闭保存。
版本
《中华人民共和国药典》2010年版