克拉霉素药典标准
品名
中文名
克拉霉素
汉语拼音
Kelameisu
英文名
Clarithromycin
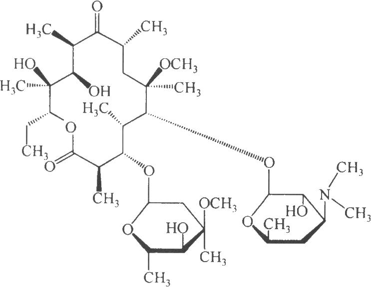
结构式

分子式与分子量
C38H69NO13 747.96
来源(名称)、含量(效价)
本品为6-O-甲基红霉素。按无水物计算,含C38H69NO13不得少于94.0%。
性状
本品为白色或类白色结晶性粉末;无臭,味苦。
本品在三氯甲烷中易溶,在丙酮或乙酸乙酯中溶解,在甲醇或乙醇中微溶,在水中不溶。
比旋度
取本品,精密称定,加三氯甲烷溶解并定量稀释制成每1ml中约含10mg的溶液,依法测定(2010年版药典二部附录Ⅵ E),比旋度为-89°至-95°。
鉴别
(1)在含量测定项下记录的色谱图中,供试品溶液主峰的保留时间应与对照品溶液主峰的保留时间一致。
(2)本品的红外光吸收图谱应与对照的图谱(《药品红外光谱集》756图)一致,必要时取供试品与对照品适量,溶于三氯甲烷,于室温挥发至干,经真空干燥后取残渣测定,应与对照品的图谱一致。
检查
碱度
取本品,用水-甲醇(19:1)混合溶液制成每1ml中含2mg的混悬液,依法测定(2010年版药典二部附录Ⅵ H),pH值应为7.5~10.0。
结晶性
取本品,依法检查(2010年版药典二部附录Ⅸ D),应符合规定。
有关物质
取本品适量,加流动相溶解并稀释制成每1ml中含1.0mg的溶液,作为供试品溶液;精密量取5ml,置100ml量瓶中,用流动相稀释至刻度,摇匀,作为对照溶液。照含量测定项下的色谱条件,取对照溶液20μl注入液相色谱仪,调节检测灵敏度,使主成分色谱峰的峰高约为满量程的50%。精密量取供试品溶液与对照溶液各20μl,分别注入液相色谱仪,记录色谱图至主成分峰保留时间的4倍。供试品溶液色谱图中如有杂质峰,单个杂质峰面积不得大于对照溶液主峰面积的0.5倍(2.5%);各杂质峰面积的和不得大于对照溶液主峰面积的1.2倍(6.0%)。
水分
取本品,加10%咪唑无水甲醇溶液溶解,照水分测定法(2010年版药典二部附录Ⅷ M第一法 A)测定,含水分不得过2.0%。
炽灼残渣
取本品1.0g,依法检查(2010年版药典二部附录Ⅷ N),遗留残渣不得过0.3%。
重金属
取炽灼残渣项下遗留的残渣,依法检查(2010年版药典二部附录Ⅷ H第二法),含重金属不得过百万分之二十。
含量测定
照高效液相色谱法(2010年版药典二部附录Ⅴ D)测定。
色谱条件与系统适用性试验
用十八烷基硅烷键合硅胶为填充剂;以磷酸盐缓冲液(取磷酸二氢钾9.11g,加水溶解并稀释至1000ml,加三乙胺2ml,用磷酸调节pH值至5.5)-乙腈(600:400)为流动相;检测波长为210nm;柱温45℃。理论板数按克拉霉素峰计算不低于3000;拖尾因子不得过2.0;克拉霉素峰与相邻杂质峰的分离度应符合要求。
测定法
取本品适量,精密称定,加流动相溶解并定量稀释制成每1ml中约含0.35mg的溶液,精密量取20μl注入液相色谱仪,记录色谱图;另取克拉霉素对照品适量,同法测定。按外标法以峰面积计算,即得。
类别
大环内酯类抗生素。
贮藏
遮光,密封保存。
制剂
(1)克拉霉素片 (2)克拉霉素胶囊 (3)克拉霉素颗粒
版本
《中华人民共和国药典》2010年版
克拉霉素说明书
药品名称
克拉霉素
英文名称
Clarithromycin
别名
6-O-甲基红霉素A;沃克;甲红霉素;甲基红霉素;甲力;甲氧基红霉素;卡碧士;卡斯迈欣;克红霉素;克拉红霉素;克拉仙;莱欣;利迈先;6-O-Methylerythromycin A
分类
抗生素 > 大环内酯类
剂型
125mg,250mg,500mg;
2.片剂:125mg,250mg,500mg;
3.干糖浆:125mg(5ml);
4.混悬剂:125mg(5ml)(每瓶50ml或100ml),250mg(5ml)(每瓶50ml或100ml)。
克拉霉素的药理作用
克拉霉克拉霉素为一种14元环大环内酯类广谱抗生素。其作用机制与红霉素相同,主要是与细菌50S核糖体亚基结合,通过阻断转肽作用和mRNA移位而抑制细菌蛋白质的合成,从而起抗菌作用。克拉霉素与红霉素相比,具有口服吸收好、达峰时间快、血药浓度高、半衰期长、个体差异小的特点。克拉霉素对甲氧西西林敏感的葡萄球菌和链球菌属的抗菌作用比红霉素略强。对流感杆菌的抗菌活性比红霉素强2~4倍(其体内代谢产物14-羟克拉霉素与克拉霉素对流感杆菌具协同抗菌作用)。对嗜肺军团菌、沙眼衣原衣原体及溶脲支原体的作用也比红霉素强。克拉霉素对金黄色葡萄球菌和链球菌起抑菌作用;对肺炎球菌和流感杆菌起杀菌作用。克拉霉素对金黄色葡萄球菌、链球菌、流感嗜血杆菌、军团菌、淋球菌、卡他布兰汉菌、幽门螺杆菌有较强的抗菌活性;对鸟分枝杆菌、?分枝杆菌、麻风杆菌亦有抗菌作用;此外,对肺炎支原体、沙眼衣原衣原体、溶脲支原体也有效。对红霉素敏感菌如金黄色葡萄球菌、表皮葡萄球菌、化脓性链球菌、肺炎双球菌的作用明显优于红霉素,对粪链球菌和流感嗜血杆菌的抗菌作用和红霉素相同,与红霉素有交叉耐药性。耐药菌可产生一种使RNA甲基化的酶,使核糖体的结合部位甲基化,从而使药物不能与核糖体结合。体内抗菌试验,克拉霉素对金黄色葡萄球菌、化脓性链球菌、肺炎双球菌、流感嗜血杆菌的抗菌作用较红霉素强2~10倍。
克拉霉素的药代动力学
克拉霉素对胃酸较稳定,单剂口服400mg,2.7h后达血药峰浓度,约为2.2mg/L;每12小时口服250mg后的稳态血药浓度约为1mg/L。药物吸收后在体内分布广泛。鼻黏膜、扁桃体及肺组织中的药物浓度比血药浓度高,在扁桃体内浓度为血药浓度的1倍,在肺脏中浓度为血药浓度的5倍。克拉霉素口服生物利用度为55%;蛋白结合率为65%~75%;单剂给药后半衰期为4.4h。每12小时口服250mg和500mg后的半衰期分别为3~4h和5~7h。药物主要由肝脏代谢,以原形及代谢物(主要为14-OH克拉霉素)形式经粪、尿两个途径排出。低剂量给药(每12小时250mg)时,经粪、尿两个途径排出的药量相仿,其中尿排出量约为给药量的32%。当剂量增大时(每12小时500mg),尿中排出量可增多。血清中原形药物及代谢产物大致等量存在,其血药浓度与剂量呈线形关系。儿童患者每次口服5mg/kg,迅速分布到除中枢神经系统以外的各组织和体液中,特别是肺、扁桃体浓度显著高于同等剂量的红霉素,食物对其吸收无影响。
克拉霉素的适应证
1.可用于治疗化脓性链球菌引起的咽炎和扁桃体炎。
2.可用于治疗敏感菌所致的急性中耳炎、鼻窦炎、急性支气管炎、慢性支气管炎急性发作和肺炎。
3.可用于治疗敏感菌所致的皮肤软组织感染。
4.可用于治疗肺炎支原体肺炎、沙眼衣原衣原体引起的尿道炎及非特异性尿道炎(宫颈炎)等。
5.可用于治疗军团病(军团菌感染)。
6.克拉霉素也可与其他药物联合用于治疗鸟分枝杆菌感染、幽门螺杆菌感染。
克拉霉素的禁忌证
1.对克拉霉素及其他大环内酯类药过敏者禁用;
2.心脏病(如心律失常、心动过缓、Q-T间期延长、缺血性心脏病、充血性心力衰竭等)患者禁用;
3.水电解质紊乱者禁用;
4.正接受特非那丁治疗者禁用。
注意事项
1.交叉过敏:患者对一种大环内酯类药过敏时,对其他大环内酯类药也可能过敏。
2.慎用:(1)哺乳期妇女;(2)肝功能不全者;(3)严重肾功能不全者。
3.药物对儿童的影响:克拉霉素在6个月至12岁小儿中应用,耐受性良好;但在小于6个月小儿中的疗效和安全性尚未确定。
4.药物对妊娠的影响:动物实验中克拉霉素对胚胎及胎儿有毒性作用,孕妇应充分权衡利弊后决定是否应用克拉霉素。
5.出现皮疹等过敏症状时须停药。静脉滴注速度不宜过快。
克拉霉素的不良反应
1.可出现口腔异味、腹痛、腹泻、恶心、味觉改变、消化不良等胃肠道症状,一般程度较轻。偶见假膜性肠炎。
2.肝脏:少数患者用药后可出现丙氨酸氨基转移酶、天门冬氨酸氨基转移酶、碱性磷酸酶、胆红素升高;也有致胆汁淤积性肝炎综合征的报道。
3.肾脏:少数患者用药后可出现尿素氮、血清肌酐值升高。
4.血液:少数患者用药后可出白细胞减少、凝血酶原时原时间延长等。
5.中枢神经系统:有报道,用药后可发生短暂性焦虑、头晕、失眠、幻视和意识模糊等中枢神经系统症状。
6.过敏反应:口服克拉霉素可能发生过敏反应。轻者为药疹、荨麻疹,重者为过敏性休克症状及Stevens-Johnson综合征。
克拉霉素的用法用量
1.成人:(1)一般感染:轻症,每次250mg;重症,每次500mg。均为12小时1次,疗程7~14天;(2)化脓链球菌咽炎:每次500mg,12小时1次,疗程最少10天;(3)分枝杆菌属感染:建议起始剂量为500mg,每天2次;(4)根除幽门螺旋杆菌:建议起始剂量为250~500mg,每天2次,疗程为7~10天,且宜与奥美拉唑再加另一种抗生素联用;(5)能不全时剂量:肾功能严重减退患者可根据肌酐清除率调整用量:肌酐清除率大于每分钟30ml者,250mg~500mg,每天2次;肌酐清除率低于每分钟30ml者,首剂500mg,以后250mg,每天2次或250mg,每天1次。
2.儿童:(1)对6个月以上的小儿,每次7.5mg/kg,每天2次。(2)对6个月以上的小儿,也可按以下方法口服给药:①体重为8~11kg的患儿,每次62.5mg,每天2次;②体重为12~19kg的患儿,每次125mg,每天2次;③体重为20~29kg的患儿,每次187.5mg,每天2次;④体重为30~40kg的患儿,每次250mg。
药物相互作用
1.克拉霉素与地高辛合用,可清除肠道中能灭活地高辛的菌群,导致地高辛肠肝循环,使地高辛血药浓度升高而发生毒性反应。
2.克拉霉素与卡马西平同用,可抑制卡马西平的代谢,导致后者的血药浓度升高而发生毒性反应。两者合用时需对后者做血药浓度监测。
3.克拉霉素与口服抗凝血药联合应用可使抗凝血药血药浓度水平升高,增加出血的危险性。
4.克拉霉素与麦角胺或二氢麦角碱联合应用可使麦角胺或二氢麦角碱血药浓度水平升高。
5.克拉霉素与三唑仑等苯并二氮药联合应用时,可抑制负责苯并二氮卓代谢的肝酶,通过减少清除率,延长半衰期和增加分布容积导致苯并二氮药血药浓度升高。
6.克拉霉素与苯妥英联合应用时,可能改变苯妥英的代谢使其血药浓度升高。
7.克拉霉素与特非那丁同用,可改变特非那丁的代谢使其血药浓度升高,从而偶发心律失常。
8.克拉霉素与环孢素合用可促进环孢素的吸收并干扰其代谢。
9.克拉霉素对氨茶碱的体内代谢略有影响,当氨茶碱应用剂量较大时须监测后者的血药浓度。
10.克拉霉素和齐多夫定同用时,克拉霉素可能影响齐多夫定的吸收,从而降低其浓度。
11.与其他大环内酯类抗生素一样与华法林合用有可能出现药物间相互作用。
专家点评
应用克拉霉素治疗常见的皮肤及附属结构的感染包括脓疱病、毛囊炎、蜂窝织炎、脓肿和伤口感染。Siepman分析945例门诊患者多中心试验结果,随机给予克拉霉素每次0.25g,每天2次,对照药物为红霉素0.25g,每6小时1次或头孢羟氨苄0.5g,每天2次,连续治疗7~14天,分别在疗程结束后48h和10天内进行疗效评估2次。临床有效率克拉霉素组95%(252/266),对照组96%(256/267),两组中共分离出金黄色葡萄球菌345株,细菌学清除率均为96%。麻风病在36例未曾治疗的麻风患者进行的初步研究表明克拉霉素每天0.5g,米诺环素每天0.1g或两药合并治疗1个月,3组临床好转例数分别为10/12、12/12和10/12;治疗2个月全部患者损害消退或部分消退,因此认为克拉霉素是治疗麻风病有希望的新药。