红霉素药典标准
品名
中文名
红霉素
汉语拼音
Hongmeisu
英文名
Erythromycin
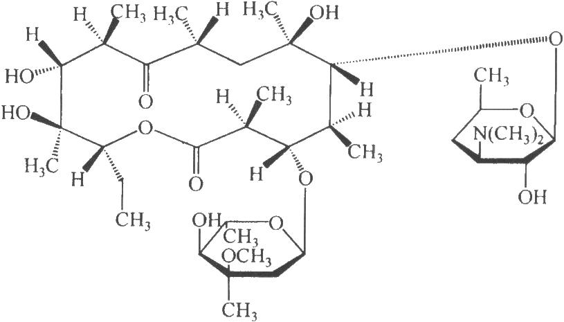
结构式

分子式与分子量
C37H67NO13 733.94
来源含量
本品按无水物计算,每1mg的效价不得少于920红霉素单位。
性状
本品为白色或类白色的结晶或粉末;无臭,味苦;微有引湿性。
本品在甲醇、乙醇或丙酮中易溶,在水中极微溶解。
比旋度
取本品,精密称定,加无水乙醇溶解并定量稀释制成每1ml中约含20mg的溶液,放置30分钟后依法测定(2010年版药典二部附录Ⅵ E),比旋度为-71°至-78°。
鉴别
(1)在红霉素A组分项下记录的色谱图中,供试品溶液主峰的保留时间应与标准品溶液主峰的保留时间一致。
(2)本品的红外光吸收图谱应与对照的图谱(《药品红外光谱集》167图)一致。如不一致,取本品与标准品适量,加少量三氯甲烷溶解后,水浴蒸干,置五氧化二磷干燥器中减压干燥后测定,除1980cm-1至2050cm-1波长范围外,应与对照品的图谱一致。
检查
碱度
取本品0.1g,加水150ml,振摇,依法测定(2010年版药典二部附录Ⅵ H),pH值应为8.0~10.5。
红霉素B、C组分及有关物质
取本品,用磷酸盐缓冲液(pH 7.0)-甲醇(15:1)溶解并稀释制成每1ml中约含4mg的溶液,作为供试品溶液;精密量取5ml,置100ml量瓶中,用磷酸盐缓冲液(pH 7.0)-甲醇(15:1)稀释至刻度,摇匀,作为对照溶液。照红霉素A组分项下的色谱条件,取对照溶液20μl注入液相色谱仪,调节检测灵敏度,使主成分色谱峰的峰高约为满量程的50%,精密量取供试品溶液与对照溶液各20μl,分别注入液相色谱仪,记录色谱图至主成分峰保留时间的3.5倍。红霉素B按校正后的峰面积计算(乘以校正因子0.7)和红霉素C峰面积均不得大于对照溶液主峰面积(5.0%)。供试品溶液色谱图中如有杂质峰,红霉索烯醇醚、杂质1按校正后的峰面积计算(分别乘以校正因子0.09、0.15)和其他单个杂质峰面积均不得大于对照溶液主峰面积的0.6倍(3.0%);其他各杂质峰面积的和不得大于对照溶液主峰面积(5.0%),供试品溶液色谱图中任何小于对照溶液主峰面积0.01倍的峰可忽略不计。
硫氰酸盐
取本品约0.1g,精密称定,置50ml棕色瓶中,加甲醇20ml溶解,再加三氯化铁试液1ml,用甲醇稀释至刻度,摇匀,作为供试品溶液;取105℃干燥1小时的硫氰酸钾2份,各约0.1g,精密称定,分别置二个50ml量瓶中,加甲醇20ml溶解并稀释至刻度,摇匀,精密量取5ml,置50ml量瓶中,用甲醇稀释至刻度,摇匀,再精密量取5ml,置50ml棕色瓶中,加三氯化铁试液1ml,用甲醇稀释至刻度,摇匀,作为对照品溶液;量取三氯化铁试液1ml,置50ml棕色瓶中,用甲醇稀释至刻度作为空白溶液。照紫外-可见分光光度法(2010年版药典二部附录Ⅳ A),在492nm波长处分别测定吸光度(供试品溶液、对照品溶液与空白溶液均应在30分钟内测定),两份对照品溶液单位重量吸光度的比值应为0.985~1.015。红霉素中硫氰酸盐的含量不得过0.3%。硫氰酸根与硫氰酸钾的分子量分别为58.08与97.18。
水分
取本品约0.2g,加10%的咪唑无水甲醇溶液使溶解,照水分测定法(2010年版药典二部附录Ⅷ M第一法 A)测定,含水分不得过6.0%。
炽灼残渣
不得过0.2%(2010年版药典二部附录Ⅷ N)。
红霉素A组分
照高效液相色谱法(2010年版药典二部附录Ⅴ D)测定。
色谱条件与系统适用性试验
用十八烷基硅烷键合硅胶为填充剂;以磷酸盐溶液(取磷酸氢二钾8.7g,加水1000ml,用20%磷酸调节pH值至8.2)-乙腈(40:60)为流动相;流速为每分钟0.8~1.0ml;柱温35℃;波长为215 nm。取红霉素标准品适量,130℃加热破坏4小时,加甲醇适量(10mg加甲醇1ml)溶解后,用磷酸盐缓冲液(pH 7.0)-甲醇(15:1)稀释制成每1ml中约含4mg的溶液,取20μl注入液相色谱仪。记录色谱图至红霉素A保留时间的5倍。按红霉素C、红霉素A、杂质1、红霉素B、红霉素烯醇醚峰的顺序出峰(必要时,用红霉素C、红霉素B、红霉素烯醇醚对照品进行峰定位)。红霉索A峰与红霉素烯醇醚峰的分离度应大于14.0,红霉素A峰的拖尾因子应小于2.0。
测定法
取本品和红霉素标准品各约0.1g,精密称定,分别加甲醇5ml溶解,用磷酸盐缓冲液(pH 7.0)-甲醇(15:1)定量稀释制成每1ml中约含4mg的溶液,分别作为供试品溶液和标准品溶液;精密量取供试品溶液与标准品溶液各20μl,分别注入液相色谱仪,记录色谱图,按外标法以峰面积计算供试品中红霉素A的含量。按无水物计算,不得少于88.0%。
含量测定
精密称取本品适量,加乙醇(10mg加乙醇1ml)溶解后,用灭菌水定量制成每1ml中约含1000单位的溶液,照抗生素微生物检定法(2010年版药典二部附录Ⅺ A管碟法或浊度法)测定,可信限率不得大于7%。1000红霉素单位相当于1mg的C37H67NO13。
类别
大环内酯类抗生素。
贮藏
密封,在干燥处保存。
制剂
(1)红霉素肠溶片 (2)红霉素肠溶胶囊 (3)红霉素软膏 (4)红霉素眼膏
版本
《中华人民共和国药典》2010年版
红霉素说明书
药品名称
红霉素
英文名称
Erythromycin
别名
艾狄密新;福爱力;红丝霉素;红霉素碱;阿达霉素;威霉素;新红康;Eritromicina;Ermycin;Eryc;Erythromycin Base;Erythromycinum;Paedlathrocin
分类
抗生素 > 大环内酯类
剂型
1.片剂:0.1g,,0.125g;
2.针(粉):0.25g,0.3g。
红霉素的药理作用
红霉红霉素是由链球菌Streptomyces erythreus所产生的一种碱性抗生素,属大环内酯类。红霉素系抑菌剂,但在高浓度时对高度敏感的细菌也具杀菌作用。其作用机制是可透过细菌细胞膜,在接近供位(“P”位)与细菌核糖体的50S亚基成可逆性结合,阻断转移核糖核酸(tRNA)结合至“P”位上,同时也阻断多肽链自受位(“A”位)至“P”位的位移,使细菌蛋白质合成受到抑制,从而起抗菌作用。红霉素仅对分裂活跃的细菌有效。红霉素抗菌谱广,对大多数革兰阳性菌、部分革兰阴性菌及一些非典型致病菌有效。红霉素对葡萄球菌属(包括产酶菌株)、各组链球菌、肺炎双球菌、炭疽杆菌、破伤风梭杆菌、白喉杆菌、淋球菌、脑膜炎球菌、流感杆菌、百日咳杆菌、空肠弯曲菌属、军团菌属、李斯特菌、伊斯雷尔放线菌具有较强的抗菌活性;对梅毒螺旋体、肺炎支原体、钩端螺旋体、立克次体;衣原体等也有较好的抑制作用。乳糖酸红霉素为红霉素的乳糖醛酸盐(lactobionate)。乳糖酸红霉素吸收后,水解释放出活性成分红霉素。红霉素可透过细菌细胞膜,在接近供位(“P”位)与细菌核糖体成可逆性结合,阻断转移核糖核酸(tRNA)结合至“P”位上,同时也阻断多肽链自受位(“A”位)至“P”位的位移,使细菌细胞蛋白合成受到抑制,从而起抗菌作用。乳糖酸红霉素对大多数革兰阳性菌、部分革兰阴性菌及一些非典型致病菌有效。红霉素对葡萄球菌属(包括产酶菌株)、各组链球菌、肺炎双球菌、炭疽杆菌、破伤风梭杆菌、白喉杆菌、淋球菌、脑膜炎球菌、流感杆菌、百日咳杆菌、空肠弯曲菌属、军团菌属、李斯特菌、伊斯雷尔放线菌具有较强的抗菌活性;对梅毒螺旋体、肺炎支原体、钩端螺旋体、立克次体、衣原体等也有较好的抑制作用。
红霉素的药代动力学
红霉红霉素口服200~250mg,2~3h后血药浓度达峰值,一般低于1μg/ml。药物吸收后除脑脊液和脑组织外,广泛分布于各组织和体液中,尤以肝、胆汁和脾中的浓度较高(在胆汁中的浓度可达血药浓度的10~40倍)。药物在肾、肺等组织中的浓度可高出血药浓度数倍;在皮下组织、痰及支气管分泌物中也有较高的浓度(痰中浓度与血药浓度相近);在胸、腹腔积液、脓液中的浓度可达有效抑菌浓度。红霉素可有一定量(约为血药浓度的33%)进入前列腺及精囊中,但不易透过血-脑脊液屏障,脑膜有炎症时脑脊液内浓度仅为血药浓度的10%左右。红霉素可进入胎儿血循环和母乳中,胎儿血药浓度为母体血药浓度的5%~20%,母乳中可达血药浓度的50%以上。不同盐类的红霉素口服后,生物利用度约为30%~65%。表观分布容积为0.9L/kg。蛋白结合率为70%~90%。半衰期约为1.4~2.0h,无尿患者的半衰期可延长至4.8~6.0h。游离红霉素在肝脏内代谢,主要在肝脏中浓缩和从胆汁排出。约2%~5%的口服量和10%~15%的注入量以原形自肾小球滤过随尿液排出。尿中浓度可达10~100μg/ml。此外,粪便中也含有一定量药物。腹膜透析和血液透析不能有效清除红霉素。乳糖酸红霉素为水溶性的红霉素乳糖醛酸酯,静脉滴注后即达血药浓度峰值。24h内静脉滴注2g,血药浓度均值为2.3~6.8mg/L。药物吸收后除脑脊液和脑组织外,广泛分布于各组织和体液中,尤以肝、胆汁和脾中的浓度较高。药物在肾、肺等组织中的浓度可高出血药浓度数倍;在皮下组织、痰及支气管分泌物中也有较高的浓度(痰中浓度与血药浓度相近);在胸、腹腔积液、脓液中的浓度可达有效抑菌浓度。红霉素可进入胎儿血循环和母乳中,但不易透过血-脑脊液屏障。游离红霉素主要经肝内代谢,在肝脏中浓缩,随胆汁排泄,并进行肠肝循环。约10%~15%的注入量以原形自肾小球滤过随尿液排出。尿中浓度可达10~100mg/L。此外,粪便中也含有一定量药物。腹膜透析和血液透析不能有效清除红霉素。
红霉素的适应证
红霉红霉素在临床上可作为下列感染的选用药物:
1.溶血性链球菌、肺炎链球菌等所致的急性扁桃体炎、急性咽炎、鼻窦炎。
2.溶血性链球菌所致猩红热、蜂窝织炎。
3.肺炎支原体肺炎、肺炎衣原体肺炎。
4.气性坏疽、炭疽、破伤风。
5.白喉(辅助治疗)及白喉带菌者。
6.沙眼衣原衣原体结膜炎。
7.衣原体属、支原体属所致泌尿生殖系感染。
8.李斯特菌病。
9.军团菌肺炎(军团菌病)。
10.淋球菌感染。
11.空肠弯曲菌肠炎。
12.厌氧菌所致口腔感染。
13.百日咳。
14.放线菌病。
15.皮肤科主要用于非淋菌性尿道炎(宫颈炎)、淋病、梅毒、软下疳、衣原体淋巴肉芽肿(性病性淋巴肉芽肿)、痤疮以及金黄色葡萄球菌性皮肤感染、猩红热等。
红霉素的禁忌证
红霉素可透过胎盘屏障和进入母乳,孕妇和哺乳妇女宜慎用。对大环内酯类药过敏者。
注意事项
1.交叉过敏:患者对一种大环内酯类药过敏时,对其他大环内酯类药也可过敏。
2.慎用:(1)哺乳期妇女;(2)肝功能不全者。
3.药物对检验值或诊断的影响:(1)红霉素可干扰Higerty法的荧光测定,使尿儿茶酚胺的测定值出现假性升高;(2)少数患者用药后可出现血清碱性磷酸酶、胆红素、丙氨酸氨基转移酶和天门冬氨酸氨基转移酶的测定值升高。
4.用药前后及用药时应当检查或监测:(1)长期用药时应常规监测肝功能;(2)大剂量用药时应监测心电图;(3)红霉素在肝功能损害时可以蓄积,因此大剂量用药时应监测血药浓度水平。
红霉素的不良反应
1.用药后可出现腹泻、恶心、呕吐、中上腹痛、食欲减退等胃肠道症状,其发生率与剂量大小有关。
2.用药后偶可出现乏力、黄疸及肝功能异常等肝毒性。
3.大剂量(每天≥4g)给药或肝、肾疾病患者、老年患者用药后可能引起耳毒性。主要表现为听力减退。可能与血药浓度过高(>12mg/L)有关,停药后大多可以恢复正常。
4.用药后偶可出现药物热、皮疹、嗜酸粒细胞增多等过敏反应,发生率约为0.5%~1%。
5.少数患者用药后偶有心律不齐,口腔或阴道念珠菌感染等。
6.部分患者静脉给药后偶可出现静脉刺激或静脉炎。
红霉素的用法用量
1.(1)①常用口服剂量:每天1~2g,分3~4次服用。②军团菌病:每天剂量可增至2~4g,分4次服用。(2)局部给药:治疗沙眼、结膜炎、角膜炎,用适量眼膏涂于眼睑内,每天数次。(3)肾功能不全时剂量:肾功能减退患者一般勿需减少用量。
2.儿童:(1)口服给药:每天30~50mg/kg,分3~4次服用。(2)局部给药:沙眼、结膜炎、角膜炎,用适量眼膏涂于眼睑内,每天数次。
3.静脉滴注:(1)成人:①一般用量:每天1~2g,分2~4次。②军团病:每天3~4g,分4次给药。高剂量不能超过4g。(2)儿童:每天按20~40mg/kg,分2~4次给药。
药物相互作用
1.红霉素与卡马西平、丙戊酸等抗癫痫药同用,可抑制卡马西平和丙戊酸的代谢,导致后者的血药浓度升高而发生毒性反应。并且卡马西平又能通过肝脏微粒体氧化酶降低红霉素药效。
2.红霉素与环孢素合用可促进环孢素的吸收并干扰其代谢,临床表现为腹痛、高血压及肝功能障碍。
3.红霉素与黄嘌呤类(二羟丙茶碱除外)同用可使氨茶碱的肝清除减少,导致血清氨茶碱浓度升高和(或)毒性反应增加。这一现象在同用6天后较易发生,氨茶碱清除的减少幅度与红霉素血清峰值成正比。
4.红霉素与地高辛合用,可清除肠道中能灭活地高辛的菌群,因而导致地高辛肠肝循环,使地高辛血药浓度升高而发生毒性反应。
5.红霉素与洛伐他丁合用时可抑制洛伐他丁代谢而增加其血药浓度,可能引起横纹肌溶解。
6.红霉素与咪达唑仑、三唑仑合用时可降低咪达唑仑、三唑仑的清除率而增强其作用。
7.红霉素与阿芬太尼合用可抑制阿芬太尼的代谢,延长其作用时间。
8.红霉素与其他肝毒性药物合用可能增强肝毒性。
9.大剂量红霉素与耳毒性药物合用,可能增加耳毒性;肾功能减退患者尤易发生。
10.红霉素与阿司咪唑.特非那定等抗组胺药合用可增加心脏毒性,引起心律失常。
11.红霉素与酒石酸麦角胺合用可致急性麦角中毒(如末梢血管痉挛)。
12.长期服用华法林的患者应用红霉素时可导致凝血酶原时原时间延长,从而增加出血的危险性。
13.红霉素与氯霉素和林可霉素类合用,有拮抗作用。
14.红霉素与β-内酰胺药联用可使两者抗菌活性降低。
15.红霉素与避孕药同服,可阻扰性激素的肠肝循环,使避孕药药效降低。
专家点评
对军团菌感染、弯曲肠杆菌肠炎、支原体肺炎、沙眼衣原衣原体所致的婴儿肺炎和结膜炎、衣原体所致的泌尿系统感染,红霉素均为首选药物。对炭疽热、气性坏疽、梅毒、非结核性分枝杆菌感染、Q热、放线菌病、痤疮也有良好的疗效。近年来,红霉素已成为支原体普遍耐药的抗生素,有资料表明,其耐药性高达27.7%,因此药敏试验是指导临床应用抗生素治疗泌尿道支原体感染的重要依据。红霉素特点是易溶于水,可制成静脉注射用制剂,常用于对口服红霉素不能耐受或严重感染患者。红霉素对痤疮丙酸杆菌有较强的抑制作用,对革兰阴性细菌如淋球菌、衣原体、支原体等亦有抑制作用,主要用于治疗痤疮、化脓性皮肤病,能有效降低痤疮杆菌数目。