钆喷酸葡胺注射液药典标准
品名
中文名
钆喷酸葡胺注射液
汉语拼音
Gapensuanpu'an Zhusheye
英文名
Gadopentetate Dimeglumine Injection
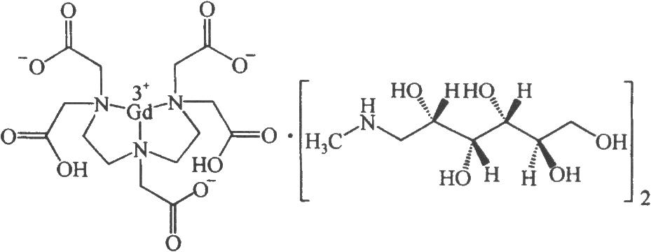
结构式

分子式与分子量
C14H20GdN3O10·2C7H17NO5 938.01
来源(名称)、含量(效价)
本品为钆喷酸双葡甲胺的灭菌水溶液。含钆喷酸双葡甲胺(C14H20GdN3O10·2C7H17NO5)应为标示量的95.0%~105.0%。
性状
本品为无色至微黄色或微黄绿色的澄明液体。
鉴别
(1)取本品,用水稀释制成每1ml中约含钆喷酸双葡甲胺35mg(相当于葡甲胺14.6mg)的溶液,作为供试品溶液;另取钆喷酸单葡甲胺对照品,加水溶解并稀释制成每1ml中约含56mg(相当于葡甲胺14.6mg)的溶液,作为对照品溶液。照薄层色谱法(2010年版药典二部附录Ⅴ B)试验,吸取上述两种溶液各2μl,分别点于同一硅胶GF254薄层板上,以正丁醇-冰醋酸-水(4:1:2)为展开剂,展开,晾干,喷以茚三酮-醋酸镉溶液(取茚三酮0.1g,醋酸镉0.25g,冰醋酸1ml,加乙醇溶解并稀释至50ml,摇匀),在120℃加热10分钟使显色,供试品溶液所显主斑点的位置和颜色应与对照品溶液的主斑点相同。
(2)取本品,用水稀释制成每1ml中约含钆喷酸双葡甲胺35mg(相当于钆喷酸20.4mg)的溶液,作为供试品溶液;另取鉴别(1)项下的对照品溶液,用水稀释制成每1ml中约含28mg(相当于钆喷酸20.4mg)的溶液,作为对照品溶液。照薄层色谱法(2010年版药典二部附录Ⅴ B)试验,吸取上述两种溶液各2μl,分别点于同一硅胶GF254薄层板上,以甲醇-乙腈-水-冰醋酸(5:2:2:0.2)为展开剂,展开,晾干,喷以硫酸铈一亚砷酸溶液(取硫酸铈5g,置100ml量瓶中,置冰水浴中,加放冷至0℃的0. 5mol/L硫酸溶液50ml,振摇使溶解,滤过,冷藏,作为溶液A;另取亚砷酸钠2.5g,加1mol/L氢氧化钠溶液15ml溶解,在0℃冷藏,小心加入放冷至0℃的1mol/L硫酸溶液32.5ml中,加水至50ml,作为溶液B;临用前溶液A、B等量混合,5分钟内使用),再喷以1%邻苯二胺丙酮溶液,供试品溶液所显主斑点的位置和颜色应与对照品溶液的主斑点相同。
(3)在含量测定项下记录的色谱图中,供试品溶液主峰的保留时间应与对照品溶液主峰的保留时间一致。
(4)取本品5ml,置25ml量瓶中,用水稀释至刻度,摇匀,照紫外-可见分光光度法(2010年版药典二部附录Ⅳ A)测定,在275nm的波长处有最大吸收。
以上(2)、(3)两项可选做一项。
检查
pH值
应为6.5~8.0(2010年版药典二部附录Ⅵ H)。
颜色
取本品,与黄色4号或黄绿色4号标准比色液(2010年版药典二部附录Ⅸ A第一法)比较,不得更深。
葡甲胺
取本品,依法测定旋光度(2010年版药典二部附录Ⅵ E),按下式计算葡甲胺含量,应为钆喷酸双葡甲胺标示量的40.2%~47.1%。

喷替酸
精密量取本品5ml,置锥形瓶中,加水25ml,加醋酸-醋酸钠缓冲液(pH 5.0)[取醋酸-醋酸钠缓冲液(pH 4.5),用氢氧化钠试液调pH值至5.0]10ml,滴加二甲酚橙指示液0.5ml,用0.002mol/L氯化钆溶液(取氯化钆约0.53g,精密称定,加水溶解并稀释至1000ml,摇匀)滴定至溶液由橙黄色变为橙红色,并将滴定的结果用空白试验校正。每1ml的0.002mol/L氯化钆溶液相当于0.788mg的C14H23N3O10。本品每1ml中含喷替酸应为50~400μg。
重金属
取本品适量(相当于钆喷酸双葡甲胺1.0g[参考资料] 国家药典委员会.中华人民共和国药典:2010年版:第一增补本[M].北京:中国医药科技出版社,2010. ),加氢氧化钠试液5ml,用水稀释至40ml,摇匀,依法检查(2010年版药典二部附录Ⅷ H第三法),含重金属不得过百万分之二十。
细菌内毒素
取本品,依法检查(2010年版药典二部附录Ⅺ E),每1ml中含内毒索的量应小于3.0EU。
其他
应符合注射剂项下有关的各项规定(2010年版药典二部附录Ⅰ B)。
含量测定
照高效液相色谱法(2010年版药典二部附录Ⅴ D)测定。
色谱条件与系统适用性试验
用辛烷基硅烷键合硅胶为填充剂;以四丁基高氯酸铵溶液(取四丁基高氯酸铵1.7g,加乙腈100ml使溶解,加水稀释至1000ml)为流动相;检测波长为195nm。理论板数按钆喷酸葡甲胺峰计算不低于3000。
测定法
精密量取本品2ml,置200ml量瓶中,用水稀释至刻度,摇匀,精密量取15ml,置100ml量瓶中,加乙腈10ml,用水稀释至刻度,摇匀,精密量取20μl注入液相色谱仪,记录色谱图;另取钆喷酸单葡甲胺对照品,精密称定,用10%乙腈溶液溶解并定量稀释制成每1ml中约含0.6mg的溶液,同法测定,按外标法以峰面积计算,所得结果乘以1.263,即得。
类别
诊断用药。
规格
(1) 10ml:4.69g (2) 12ml:5.63g (3)15ml:7.04g (4) 20ml:9.38g[以钆喷酸双葡甲胺(C14H20GdN3O10·2C7H17NO5)计]
贮藏
遮光,密闭保存。
版本
《中华人民共和国药典》2010年版