碘解磷定药典标准
品名
中文名
碘解磷定
汉语拼音
Dianjielinding
英文名
Pralidoxime Iodide
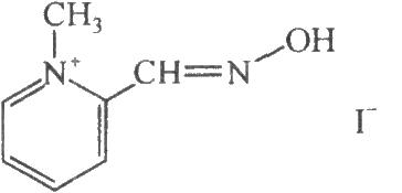
结构式

分子式与分子量
C7H9IN2O 264.07
来源(名称)、含量(效价)
本品为1-甲基-2-吡啶甲醛肟碘化物。
性状
本品为黄色颗粒状结晶或结晶性粉末;无臭,味苦;遇光易变质。
本品在水或热乙醇中溶解,在乙醇中微溶,在乙醚中不溶。
熔点
本品的熔点(2010年版药典二部附录Ⅵ C)为220~227℃,熔融时同时分解。
吸收系数
避光操作。取本品,精密称定,加盐酸溶液(9→1000)溶解并定量稀释制成每1ml中约含10μg的溶液,在1小时内,照紫外-可见分光光度法(2010年版药典二部附录Ⅳ A),在294nm的波长处测定吸光度,吸收系数(
)为464~494。
鉴别
取本品约0.2g,加水20ml溶解后,照下述方法试验。
(1)取溶液5ml,加碘化铋钾试液数滴,即生成红棕色沉淀。
(2)取溶液10ml,加三氯化铁试液1滴,即显黄色;再加三氯化铁试液1滴,即生成棕色沉淀(与氯解磷定的区别)。
(3)本品的红外光吸收图谱应与对照的图谱(《药品红外光谱集》523图)一致。
检查
氰化物
取本品0.40g,依法检查(2010年版药典二部附录Ⅷ F第二法),与标准氰化钾溶液1.0ml所得的结果相比较,应符合规定(0.0005%)。
游离碘
取本品0.10g,加水3ml溶解后,加淀粉指示液0.5ml,不得显蓝色或紫色。
干燥失重
取本品,在105℃干燥至恒重,减失重量不得过0.5%(2010年版药典二部附录Ⅷ L)。
炽灼残渣
取本品1.0g,依法检查(2010年版药典二部附录Ⅷ N),遗留残渣不得过0.1%。
重金属
取炽灼残渣项下遗留的残渣,依法检查(2010年版药典二部附录Ⅷ H第二法),含重金属不得过百万分之十。
总碘量
取本品约0.5g,精密称定,加水50ml溶解后,加稀醋酸10ml与曙红钠指示液10滴,用硝酸银滴定液(0.1mol/L)滴定至溶液由玫瑰红色转变为紫红色。每1ml硝酸银滴定液(0.1mol/L)相当于12.69mg的I。按干燥品计算,含碘(I)量应为47.6%~48.5%。
类别
解毒药。
贮藏
遮光,密封保存。
制剂
碘解磷定注射液
版本
《中华人民共和国药典》2010年版
碘解磷定说明书
别名
碘磷定;解磷定;解磷毒;磷敌;派姆;醛盻比胺,碘解磷定
外文名
Pyraloxime Methiodide (PAM)
碘解磷定的适应症
对有机磷的解毒作用有一定选择性。如对1605、1059、特普、乙硫磷的疗效较好;而对敌敌畏、乐果、敌百虫、马拉硫磷的效果较差或无效;对二嗪农、甲氟磷、丙胺氟磷及八甲磷中毒则无效。 对轻度有机磷中毒,可单独应用本品或阿托品以控制症状;中度、重度中毒时则必须合并应用阿托品,因对体内已蓄积的乙酰胆碱几无作用。
碘解磷定的用量用法
1.治疗轻度中毒:成人每次0.4g,以葡萄糖液或等渗盐水稀释后静滴或缓慢静注,必要时2~4小时重复1次。小儿1次每千克体重15mg。
2.治疗中度中毒:成人首次0.8~1.2g,以后每2小时0.4~0.8g,共2~3次;或以静滴给药维持,每小时给0.4g,共4~6次。小儿1次每千克体重20~30mg。
3.治疗重度中毒:成人首次用1~1.2g,30分钟后如无效可再给0.8~1.2g,以后每小时每次0.4g。小儿1次每千克体重30mg,静滴或缓慢静注。
注意事项
1.有时可引起咽痛及腮腺肿大,注射过速可引起眩晕、视力模糊、恶心、呕吐、心动过缓,严重者可发生阵挛性抽搐,甚至抑制呼吸中枢,引起呼吸衰竭。
2.在体内迅速被分解而维持时间短(仅1.5~2小时),故根据病情必须反复给药。
3.在碱性溶液中易水解为氰化物,故忌与碱性药物配伍。
4.粉剂较难溶,溶时可加温(40~50℃)或振摇。
规格
注射用碘解磷定:每支0.4g。注射液:每支0.4g(10ml)。