阿莫西林药典标准
品名
中文名
阿莫西林
汉语拼音
Amoxilin
英文名
Amoxicillin
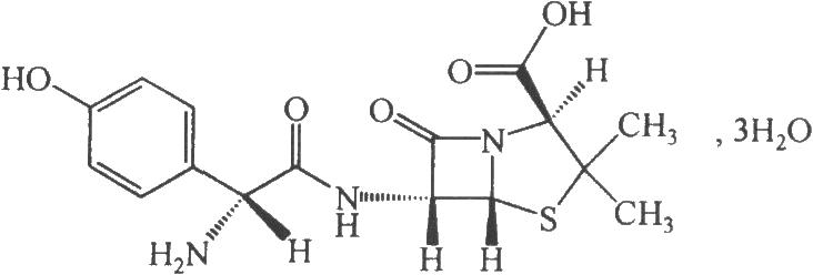
结构式

分子式与分子量
C16H19N3O5S·3H2O 419.46
来源(名称)、含量(效价)
本品为(2S,5R,6R)-3,3-二甲基-6-[(R)-(-)-2-氨基-2-(4-羟基苯基)乙酰氨基]-7-氧代-4-硫杂-1-氮杂双环[3.2.0]庚烷-2-甲酸三水合物。按无水物计算,含C16H19N3O5S不得少于95.0%。
性状
本品为白色或类白色结晶性粉末;味微苦。本品在水中微溶,在乙醇中几乎不溶。
比旋度
取本品,精密称定,加水溶解并定量稀释制成每1ml中约含2mg的溶液,依法测定(2010年版药典二部附录Ⅵ E),比旋度为+290°至+315°。
鉴别
(1)取本品与阿莫西林对照品各约0.125g,分别加4.6%碳酸氢钠溶液溶解并稀释制成每1ml中约含阿莫西林10mg的溶液,作为供试品溶液与对照品溶液;另取阿莫西林对照品和头孢唑啉对照品各适量,加4.6%碳酸氢钠溶液溶解并稀释制成每1ml中约含阿莫西林10mg和头孢唑啉5mg的溶液作为系统适用性试验溶液。照薄层色谱法(2010年版药典二部附录Ⅴ B)试验,吸取上述三种溶液各2μl,分别点于同一硅胶GF254薄层板上,以乙酸乙酯-丙酮-冰醋酸-水(5:2:2:1)为展开剂,展开,晾干,置紫外灯254nm下检视。系统适用性试验溶液应显两个清晰分离的斑点,供试品溶液所显主斑点的位置和颜色应与对照品溶液主斑点的位置和颜色相同。
(2)在含量测定项下记录的色谱图中,供试品溶液主峰的保留时间应与对照品溶液主峰的保留时间一致。
(3)本品的红外光吸收图谱应与对照的图谱(《药品红外光谱集》441图)一致。
以上(1)、(2)两项可选做一项。
检查
酸度
取本品,加水制成每1ml中含2mg的溶液,依法测定(2010年版药典二部附录Ⅵ H),pH值应为3.5~5.5。
溶液的澄清度
取本品5份,各1.0g,分别加0.5mol/L盐酸溶液10ml,溶解后立即观察,另取本品5份,各1.0g,分别加2mol/L氨溶液10ml溶解后立即观察,溶液均应澄清。如显浑浊,与2号浊度标准液(2010年版药典二部附录Ⅸ B)比较,均不得更浓。
有关物质
取本品适量,精密称定,加流动相A溶解并定量稀释制成每1ml中约含2.0mg的溶液,作为供试品溶液;另取阿莫西林对照品适量,精密称定,用流动相A溶解并定量稀释制成每1ml中约含20μg的溶液,作为对照溶液。照高效液相色谱法(2010年版药典二部附录Ⅴ D)测定,用十八烷基硅烷键合硅胶为填充剂;以0.05mol/L磷酸盐缓冲液(取0.05mol/L磷酸二氢钾溶液,用2mol/L氢氧化钾溶液调节pH值至5.0)-乙腈(99:1)为流动相A;以0.05mol/L磷酸盐缓冲液(pH 5.0)-乙腈(80:20)为流动相B;检测波长254nm。先以流动相A-流动相B(92;8)等度洗脱,待阿莫西林峰洗脱完毕后立即按下表线性梯度洗脱。取阿莫西林系统适用性对照品适量,加流动相A溶解并稀释制成每1ml中约含2.0mg的溶液,取20μl注入液相色谱仪,记录的色谱图应与标准图谱一致。取对照溶液20μl注入液相色谱仪,调节检测灵敏度,使主成分色谱峰的峰高约为满量程的25%。再精密量取供试品溶液和对照溶液各20μl,分别注入液相色谱仪,记录色谱图,供试品溶液色谱图中如有杂质峰,单个杂质峰面积不得大于对照溶液主峰面积(1.0%),各杂质峰面积的和不得大于对照溶液主峰面积的3倍(3.0%),供试品溶液色谱图中任何小于对照溶液主峰面积0.05倍的峰可忽略不计。
| 时间(分钟) | 流动相A(%) | 流动相B(%) |
| 0 | 92 | 8 |
| 25 | 0 | 100 |
| 40 | 0 | 100 |
| 41 | 92 | 8 |
| 55 | 92 | 8 |
阿奠西林聚合物
照分子排阻色谱法(2010年版药典二部附录Ⅴ H)测定。
色谱条件与系统适用性试验
用葡聚糖凝胶G-10(40~120μm)为填充剂,玻璃柱内径1.0~1.4cm,柱长30~40cm,流动相A为pH 8.0的0.05mol/L磷酸盐缓冲液(0.05mol/L磷酸氢二钠溶液-0.05mol/L磷酸二氢钠溶液(95:5)],流动相B为水,流速为每分钟1.5ml,检测波长为254nm。量取0.2mg/ml蓝色葡聚糖2000溶液100~200μl注入液相色谱仪,分别以流动相A、B为流动相进行测定,记录色谱图。按蓝色葡聚糖2000峰计算理论板数均不低于500,拖尾因子均应小于2.0。在两种流动相系统中蓝色葡聚糖2000峰保留时间的比值应在0.93~1.07之间,对照溶液主峰和供试品溶液中聚合物峰与相应色谱系统中蓝色葡聚糖2000峰的保留时间的比值均应在0.93~1.07之间。称取阿莫西林约0.2g置10ml量瓶中,加2%无水碳酸钠溶液4ml使溶解后,用0.3mg/ml的蓝色葡聚糖2000溶液稀释至刻度,摇匀。量取100~200μl注入液相色谱仪,用流动相A进行测定,记录色谱图。高聚体的峰高与单体与高聚体之间的谷高比应大于2.0。另以流动相B为流动相,精密量取对照溶液100~200μl,连续进样5次,峰面积的相对标准偏差应不大于5.0%。
对照溶液的制备
取青霉素对照品适量,精密称定,加水溶解并定量稀释制成每1ml中约含0.2mg的溶液。
测定法
取本品约0.2g,精密称定,置10ml量瓶中,加2%无水碳酸钠溶液4ml使溶解,用水稀释至刻度,摇匀,立即精密量取100~200μl注入色谱仪,以流动相A为流动相进行测定,记录色谱图。另精密量取对照溶液100~200μl注入色谱仪,以流动相B为流动相,同法测定。按外标法以峰面积计算,结果除以10,即得。含阿莫西林聚合物以阿莫西林计,不得过0.15%(阿莫西林:青霉素=1:10)。
残留溶剂
丙酮与二氯甲烷精密称取本品0.25g,置顶空瓶中,精密加二甲基乙酰胺5ml溶解,密封,作为供试品溶液;精密称取丙酮和二氯甲烷适量,加二甲基乙酰胺定量稀释制成每1ml中约含丙酮40μg和二氯甲烷30μg的溶液,精密量取5ml,置顶空瓶中,密封,作为对照品溶液。照残留溶剂测定法(2010年版药典二部附录Ⅷ P第二法)测定。以6%氰丙基苯基-94%二甲基聚硅氧烷(或极性相近)为固定液的毛细管柱为色谱柱;初始温度为40℃,维持4分钟,再以每分钟30℃的速率升温至200℃,维持6分钟;进样口温度为300℃,检测器温度为250℃;;顶空瓶平衡温度为80℃,平衡时间为30分钟;取对照品溶液顶空进样,记录色谱图,丙酮和二氯甲烷的分离度应符合要求。取供试品溶液和对照品溶液分别顶空进样,记录色谱图。按外标法以峰面积计算,含二氯甲烷不得过0.12%,含丙酮应符合规定。
水分
取本品,照水分测定法(2010年版药典二部附录Ⅷ M第一法 A)测定,含水分应为12.0%~15.0%。
炽灼残渣
取本品1.0g,依法检查(2010年版药典二部附录Ⅷ N),遗留残渣不得过1.0%。
含量测定
照高效液相色谱法(2010年版药典二部附录Ⅴ D)测定。
色谱条件与系统适用性试验
用十八烷基硅烷键合硅胶为填充剂;以0.05mol/L磷酸二氢钾溶液(用2mol/L氢氧化钾溶液调节pH值至5.0)-乙腈(97.5:2.5)为流动相;检测波长254nm。取阿奠西林系统适用性对照品约25mg,置50ml量瓶中,用流动相溶解并稀释至刻度,摇匀,取20μl注入液相色谱仪,记录的色谱图应与标准图谱一致。
测定法
取本品约25mg,精密称定,置50ml量瓶中,加流动相溶解并稀释至刻度,摇匀,精密量取20μl注入液相色谱仪,记录色谱图;另取阿莫西林对照品适量,同法测定。按外标法以峰面积计算,即得。
类别
β-内酰胺类抗生素,青霉素类。
贮藏
遮光,密封保存。
制剂
(1)阿莫西林干混悬剂 (2)阿莫西林片 (3)阿莫西林胶囊 (4)阿莫西林颗粒
版本
《中华人民共和国药典》2010年版
阿莫西林说明书
药品名称
阿莫西林
英文名称
Amoxicillin
别名
阿摩西林;阿莫灵;阿莫仙;阿莫新;安福喜;奥纳欣;酚塔西林;弗莱莫星;奈他美;强必林;强力阿莫仙;羟氨苄青霉素;特力士;新达贝宁;三水羟氨苄
分类
抗生素 > 青霉素类
剂型
1.片剂:0.125g,0.25g;
2.胶囊:0.125g,0.25g;
3.注射剂:0.5g。
4.干糖浆:0.125g,0.25g
阿莫西林的药理作用
阿莫西阿莫西林为半合成的广谱青霉素,属氨基青霉素类。其抗菌作用机制与青霉素相同。阿莫西林耐酸性比氨苄西林强(口服等量药物,血药浓度比氨苄西林高一倍)。其杀菌作用优于氨苄西林,尤其是对某些链球菌和沙门菌属的杀菌作用强于氨苄西林。阿莫西林对青霉素敏感的革兰阳性细菌有效;对流感嗜血杆菌、大肠埃希菌、奇异变形杆菌、沙门菌属、痢疾志贺菌、脑膜炎奈瑟菌和不产酶的淋病奈瑟菌等革兰阴性菌有很强的抗菌活性;对某些大肠杆菌、军团菌和胎儿弯曲杆菌有一定的抗菌活性;此外,对钩端螺旋体、梅毒螺旋体也有较好的作用。大部分志贺菌、多数肠杆菌、脆弱拟杆菌、铜绿假单胞菌等对阿莫西林耐药。
阿莫西林的药代动力学
阿莫西阿莫西林口服后吸收迅速,约75%~90%可经胃肠道吸收。口服0.25、0.5和1g后的血药峰浓度分别为5.1、10.8和20.6μg/ml,达峰时间约为2h。肌内注射阿莫西林钠500mg的血药峰浓度为14μg/ml,与口服同剂量的峰浓度相近,达峰时间约为1h。静脉注射阿莫西林钠500mg,5min后血药浓度为42.6μg/ml,5h后为1μg/ml。药物吸收后分布广泛,分布容积为0.41L/kg。阿莫西林可透过胎盘,脐带血中浓度为母体血药浓度的1/4~1/3。乳汁、汗液和泪液中药物浓度极低。肺炎或慢性支气管炎急性发作者口服阿莫西林500mg,2~3或6h后的痰中平均药物浓度分别为0.52μg/ml和0.53μg/ml,同期的血药浓度分别为11μg/ml和3.5μg/ml。慢性中耳炎儿童口服1g,1~2h后中耳液中药物浓度为6.2μg/ml。结核性脑膜炎患者口服1.0g,2h后脑脊液中药物浓度为0.1~1.5μg/ml,相当于同期血药浓度的0.9%~21.1%。静脉注射2g,1.5h后脑脊液中药物浓度达2.9~40.0μg/ml,约为血药浓度的8%~93%。尿中药物浓度很高,口服250mg后尿中药物浓度高达0.3~1.3mg/ml。阿莫西林蛋白结合率为17%~20%,半衰期为1.0~1.3h,严重肾功能不全者可延长至5~20h。单次口服250mg和500mg后,分别有24%和33%的给药量在肝内代谢。约60%的口服药量于6h内以原形经肾小球滤过和肾小管分泌,随尿液排出;20%的口服量则以青霉噻唑酸的形式随尿液排泄;另有部分药物可经胆汁排泄。血液透析能清除部分药物,但腹膜透析不能清除阿莫西林。
阿莫西林的适应证
1.伤寒、其他沙门菌感染和伤寒带菌者。
2.敏感菌所致的下尿路感染、不产酶淋球菌尿道炎、非特异性尿道炎(宫颈炎)等。
3.肺炎链球菌、不产青霉素酶金黄色葡萄球菌、溶血性链球菌和流感杆菌所致的耳鼻喉感染、呼吸道感染和软组织感染。
4.钩端螺旋体病。
阿莫西林的禁忌证
1.对阿莫西林或其他青霉素类药过敏者。
2.传染性单核细胞增多症、巨细胞病毒感染、淋巴细胞白血病、淋巴瘤等患者。
注意事项
1.对一种青霉素类药过敏者可能对其他青霉素类药过敏,也可能对青霉胺或头孢菌素类药过敏。
2.慎用:(1)肾功能严重损害者;(2)有哮喘、湿疹、枯草热、荨麻疹等过敏性疾病史者;(3)老年人。
3.药物对妊娠的影响:晚期妊娠孕妇应用阿莫西林后可使血浆中结合的雌激素浓度减少,但对不结合的雌激素和孕激素无影响。
4.药物对哺乳的影响:阿莫西林可少量分泌入乳汁中,哺乳期妇女应用阿莫西林虽尚无发生严重问题的报道,但哺乳期妇女用药后可能使婴儿致敏或引起腹泻、皮疹、念珠菌属感染等,因此,应用时须权衡利弊。
5.药物对检验值或诊断的影响:(1)以硫酸铜法进行尿糖测定时可出现假阳性,用葡萄糖酶法测定则不受影响;(2)少数患者用药后可出现血清丙氨酸氨基转移氨基转移酶或天门冬氨酸氨基转移酶升高。
阿莫西林的不良反应
临床应用阿莫西林的不良反应总发生率为5%~6%,须停药者约2%。
1.腹泻、恶心、呕吐等胃肠道症状较为多见,约占3.1%。
2.皮疹、药物热、哮喘等过敏反应症状也较为常见。尤易发生于传染性单核细胞增多症者。
3.少数患者用药后偶致肝、肾毒性(肝功能异常、急性间质性肾炎等)。
4.少数患者用药后偶出现嗜酸性粒细胞增多、白细胞减少。
5.长期、大剂量用药可致菌群失调,出现由念珠菌或耐药菌引起的二重感染。
阿莫西林的用法用量
1.(1)口服给药:①一般感染:每次0.5~1g,每6~8小时1次,每天剂量不超过4g;②治疗无并发症的急性尿路感染:单次口服3g,也可于10~12h后再增加3g;③淋病:单次口服3g,常加用丙磺舒1g;④预防感染性心内膜炎:单次口服3g,于手术(如拔牙)前1h给予。(2)肌内注射:每次0.5~1g,每天3~4次。(3)静脉滴注:每次0.5~1g,每天3~4次。(4)肾功能不全时剂量:肾小球滤过率为每分钟10~50ml者,其给药间期应为8~12h;肾小球滤过率小于每分钟10ml者,其给药间期应为16h。(5)透析时剂量:血液透析可影响血药浓度,每次血液透析后应补充给予1g剂量。
2.儿童:(1)口服给药:①小儿:每天20~40mg/kg,每8小时1次。②新生儿和早产儿:每次50mg,每12小时1次;感染严重者可每8小时1次。(2)肌内注射:小儿每天50~100mg/kg,分3~4次给药。(3)静脉滴注:小儿每天50~100mg/kg,分3~4次给药。
药物相互作用
1.丙磺舒可延缓阿莫西林经肾排泄,使血药浓度升高。
2.与β-内酰胺酶抑制剂如克拉维酸合用时,抗菌作用明显增强。克拉维酸不仅可以增强产β-内酰胺酶菌株对阿莫西林的敏感性,还可增强阿莫西林对某些非敏感菌株的作用,这些菌株包括拟杆菌、军团菌、诺卡菌和假鼻疽杆菌。
3.别嘌呤类尿酸合成抑制剂可增加阿莫西林发生皮肤不良反应的危险性。
4.阿莫西林与避孕药同用时,能刺激雌激素代谢或减少其肠肝循环,降低口服避孕药的药效。
5.阿莫西林可使伤寒活疫苗产生的免疫反应减弱,其可能的机制是阿莫西林对伤寒沙门菌具有抗菌活性。
6.阿莫西林可降低甲氨蝶呤的肾清除率,从而增加甲氨蝶呤毒性。
7.别嘌醇可使阿莫西林皮肤黏膜不良反应发生率增加。
专家点评
阿莫西阿莫西林为半合成广谱青霉素,抗菌谱与氨苄西林相似,抗菌作用略强于氨苄西林,但对肠球菌和沙门菌的作用较氨苄西林强。不耐青霉素酶,故对易产生青霉素酶的细菌无效。据报道阿莫西林治疗伤寒、其他沙门菌属感染和伤寒带菌者可获得满意的疗效,其治疗伤寒的临床结果、细菌学清除率和体温反应均优于氯霉素;治疗敏感菌所致的尿路感染亦可获得满意疗效,对感染仅限于下尿路的患者,单剂量3g即可获得满意的疗效。对肺炎球菌、不产青霉素酶的金黄色葡萄球菌、溶血性链球菌、流感杆菌所致的五官、皮肤和软组织感染等可使用阿莫西林。可与H2受体拮抗剂或质子泵抑制剂联合用于幽门螺杆菌所致的胃炎和十二指肠壶腹部溃疡。